2024年5月29日,北京大学肿瘤医院李文庆研究团队等在JAMA系列杂志JAMA Network Open(IF:13.8)发表了题为“Helicobacter pylori treatment and gastric cancer risk among genetically high-risk individuals”的研究论文。该研究系统探讨了胃黏膜病变进展和胃癌发生风险的遗传易感性,整合构建胃癌多基因风险评分(PRS),评价对不同遗传风险人群根除幽门螺杆菌(Helicobacter pylori, H. pylori)感染等一级预防手段的胃癌预防效果,为制定胃癌精准防控策略提供了新思路。
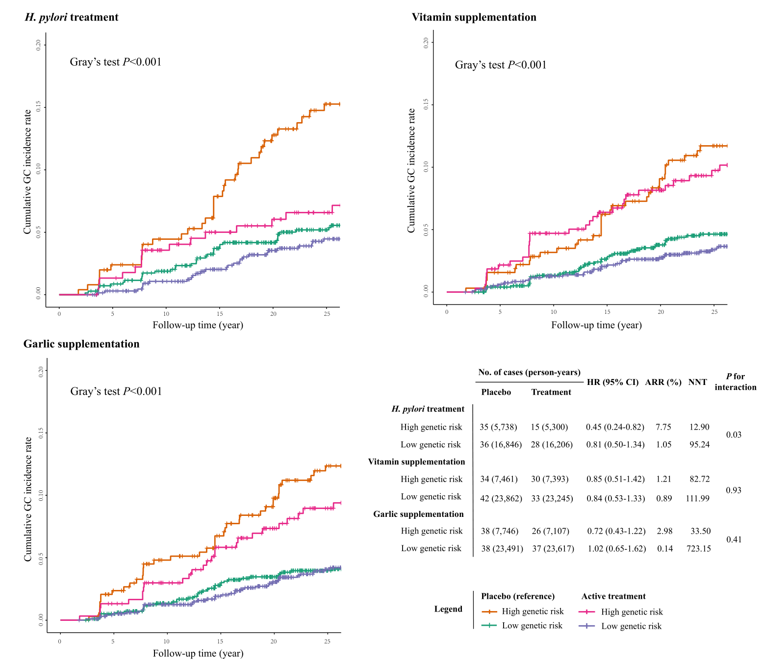
胃癌的发生和发展受遗传、环境和宿主因素的联合影响,经历胃黏膜病变多阶段演变的过程。本团队既往干预性研究在全球范围内首次报告根除H. pylori感染可显著降低胃癌的发病和死亡风险,并首次发现营养素补充的胃癌预防效果。尽管如此,既往粗放型的胃癌防控探索仍基于全人群策略,并不符合精准医学时代浓缩适宜人群和优化资源配置的需求。本研究的第一部分基于山东干预试验(SIT,n=2816)和中国慢性病前瞻性研究(CKB,n=100,228)开展。依托SIT多时点胃黏膜组织病理学诊断和CKB前瞻性随访信息开展纵向全基因组关联研究,筛选并验证胃黏膜病变进展和胃癌风险相关遗传易感性位点,整合12个独立遗传易感位点构建的PRS在不同人群中均与胃癌的发生风险呈现显著正相关。第二部分基于SIT干预试验受试者的研究发现,高遗传风险组(PRS上四分位)接受根除H. pylori感染治疗后长期随访期间胃癌发生风险显著降低,而低遗传风险组人群则并未观察到类似效果,提示根除H. pylori感染与胃癌遗传风险之间存在交互作用。
本研究提示,高遗传风险人群可望通过接受根除H. pylori感染降低其胃癌发生风险,提示一级预防可修饰因遗传易感导致的胃癌超额发生风险,支持基于遗传风险优化胃癌一级预防适宜人群,在宿主遗传学层面为指导构建胃癌精准预防策略和促进资源合理配置提供了重要证据。北京大学肿瘤医院李文庆研究员、北京大学公共卫生学院吕筠教授和北京大学肿瘤医院潘凯枫教授为论文的共同通讯作者,北京大学肿瘤医院流行病学研究室2024届博士毕业生许恒敏和北京大学公共卫生学院的韩雨廷博士后为论文的共同第一作者。

原文链接:
https://jamanetwork.com/journals/jamanetworkopen/fullarticle/2819137?resultClick=1
(肿瘤医院)